赛马娘速度和加速度的计算一直是很多玩家很迷惑的地方,确实在游戏中速度是非常重要的属性,今天就来一起看看NGA玩家vololag带来的赛马娘速度与加速度的计算解析。
上文我们讲完了道中篇接下来我们继续看各个阶段的加速度。
起跑

a0就是从起跑到加速到0.85的基准速度时的加速度。
第一阶段

a1是从0.85基准速度到巡航1速度时的加速度。
第二阶段

当巡航2速度大于巡航1速度时,a2为加速,否则马娘会以-0.8m/s^2减速直至到达巡航2速度。
似乎每个阶段的减速是不一样的,根据nga解包的数据.
"declBase": 1.0,
"declRateStart": 1.2,
"declRateMiddle": 0.8,
"declRateEnd": 1.0,
"declRateHpZero": 1.2,
deciRateEnd与下个阶段的公式不符,暂时不清楚到底哪个正确。
第三阶段

a3和a2基本是一致的。只不过相关的脚质力量补正不同,比如逃马在后期的加速度补正要小于中期的加速度补正。
最终冲刺

HP消耗

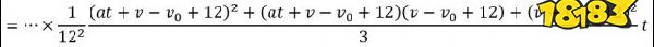
就像前两个部分所说的,整个赛程可以被分为加速和巡航。这两个部分的HP消耗是不同的,详细可以看上图。巡航的公式中的t就是该巡航过程(比如巡航1、或巡航3之类的)的总时间。

如上图,加速段的HP消耗可以写成与巡航相似的形式,注意这两个公式是在假设匀加速的情况下计算获得的,实际游戏会每秒(或每1/3秒?)计算一次单位HP消耗,是连续的。
最低速度

如果在冲线之前HP被耗尽,马会减速至最低速度。减速时的加速度为-1.2m/s^2。注意这个最低速度非常低,根性对其的提升很有限。与其点根性来提升最低速度不如点耐力防止HP耗尽。
最终冲刺距离

在刚进入第三阶段,马娘会通过剩余HP来估算最佳最终冲刺的距离。因此这里的剩余HP是巡航2刚结束的HP。
这个距离只是在估算最佳冲刺距离使得HP差不多用完,暂时不确定真实性。
最终冲刺的距离的公式如上图,显然与HP成正比。但是最终冲刺的距离不能超过比赛距离的1/3。也就是说,冲刺距离是上面两个量中的最小的那个。
以上就是赛马娘速度和加速度计算的全部内容,更多精彩内容请关注18183赛马娘专区。
